ИНН 3311010984
КПП 331101001
ТСН СНТ "КАЛИНКА"
601605, Владимирская обл., Александровский р-н, д. Лизуново
Р/сч 40703810110000001338
во Владимирском отделении №8611 ПАО Сбербанк
БИК 041708602
Кор/сч 30101810000000000602
При оплате, в поле СООБЩЕНИЕ ПОЛУЧАТЕЛЮ (или ПРИМЕЧАНИЕ), обязательно указывайте № У Ч А С Т К А
Оплату электричества, членских взносов и целевых взносов, пожалуйста, производите отдельными платежами
ВНИМАНИЕ!
Членский взнос на 2025 год рассчитывается по формуле:
сотки участка х 825 рублей + 8600 рублей (дежурство по СНТ и вывоз мусора)
Тем садоводам, кто уплатил взнос ранее (до 21.06.2025) нужно доплатить 2600 рублей за 2025 год.
Садоводам не участвовавшим в субботнике по решению Общего собрания необходимо уплатить взнос 1000 рублей.
Правление напоминает Садоводам: оплата членского взноса за 2025 год должна быть произведена до конца года. С 1 января 2026 года будут начисляться пени. Формула расчёта: пеня = 0,1% задолженности × количество дней просрочки.
Правление напоминает Садоводам: при задолженности за электроэнергию более 10000 руб и несвоевременной оплате, световая точка будет отключена от электросети товарищества.
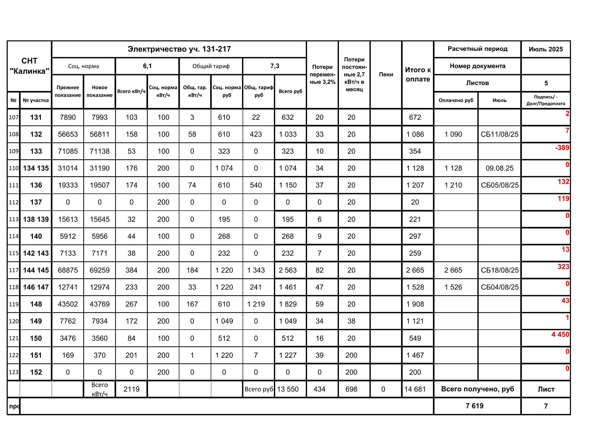
С 01.07.2025 согласно приказу Министерства государственного регулирования цен и тарифов Владимирской области от 21.11.2024 №45/221 изменятся тарифы на электроэнергию и составят:
- соц. норма – 6,10 руб;
- общий тариф – 7,30 руб.
Оплата потерь электроэнергии:
https://disk.yandex.ru/i/ynekJUwwvx___g
☝️ бланк заявления на вступление в члены СНТ "Калинка"
https://disk.yandex.ru/i/pqmk3OA_cTYy5Q
☝️ бланк доверенности на голосование
https://disk.yandex.ru/i/yTdyBUXSxDX0YA
☝️ форма согласия на обработку персон. данных
https://disk.yandex.ru/i/Nm1jhm_BmGTe_w
☝️ заявление на постоянный проезд
НОМЕР ТЕЛЕФОНА В СТОРОЖКЕ:
+7 910 093-05-65
НОМЕР ТЕЛЕФОНА ПРЕДСЕДАТЕЛЯ ПРАВЛЕНИЯ СНТ:
+7 909 987-89-51
Романова Татьяна Владимировна
В WhatsApp уже несколько лет существует чат садоводов нашего СНТ. Желающие могут присоединиться, для этого позвоните или напишите Председателю Правления.
ВНИМАНИЕ!
Для исключения возможности возгорания электропроводки требуется замена ввода в дом на участках:
103, 71, 94, 93, 63, 3, 31, 80, 82, 171, 163, 207, 211, 158
Долги садоводов по состоянию на 01 ноября 2025 года
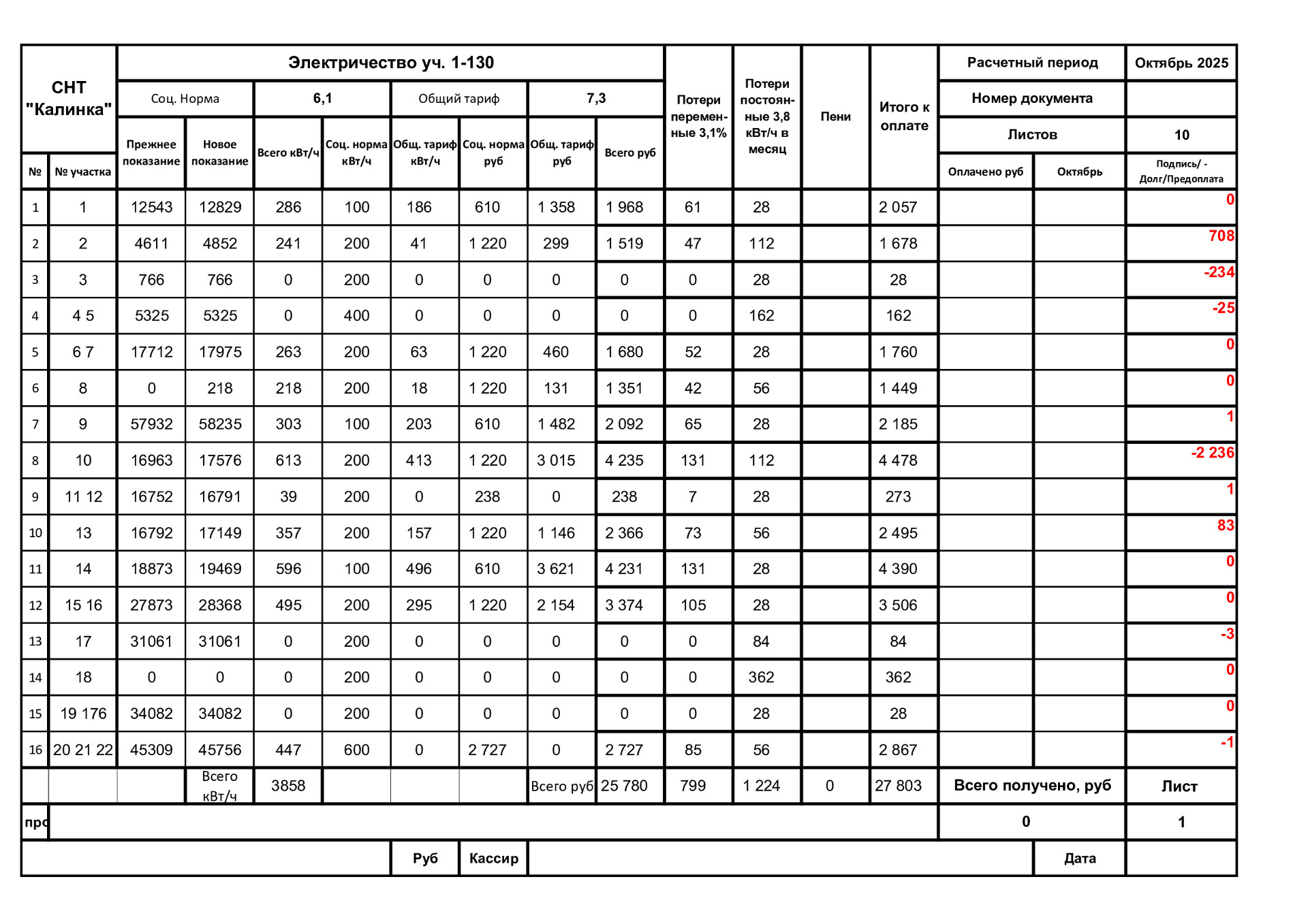
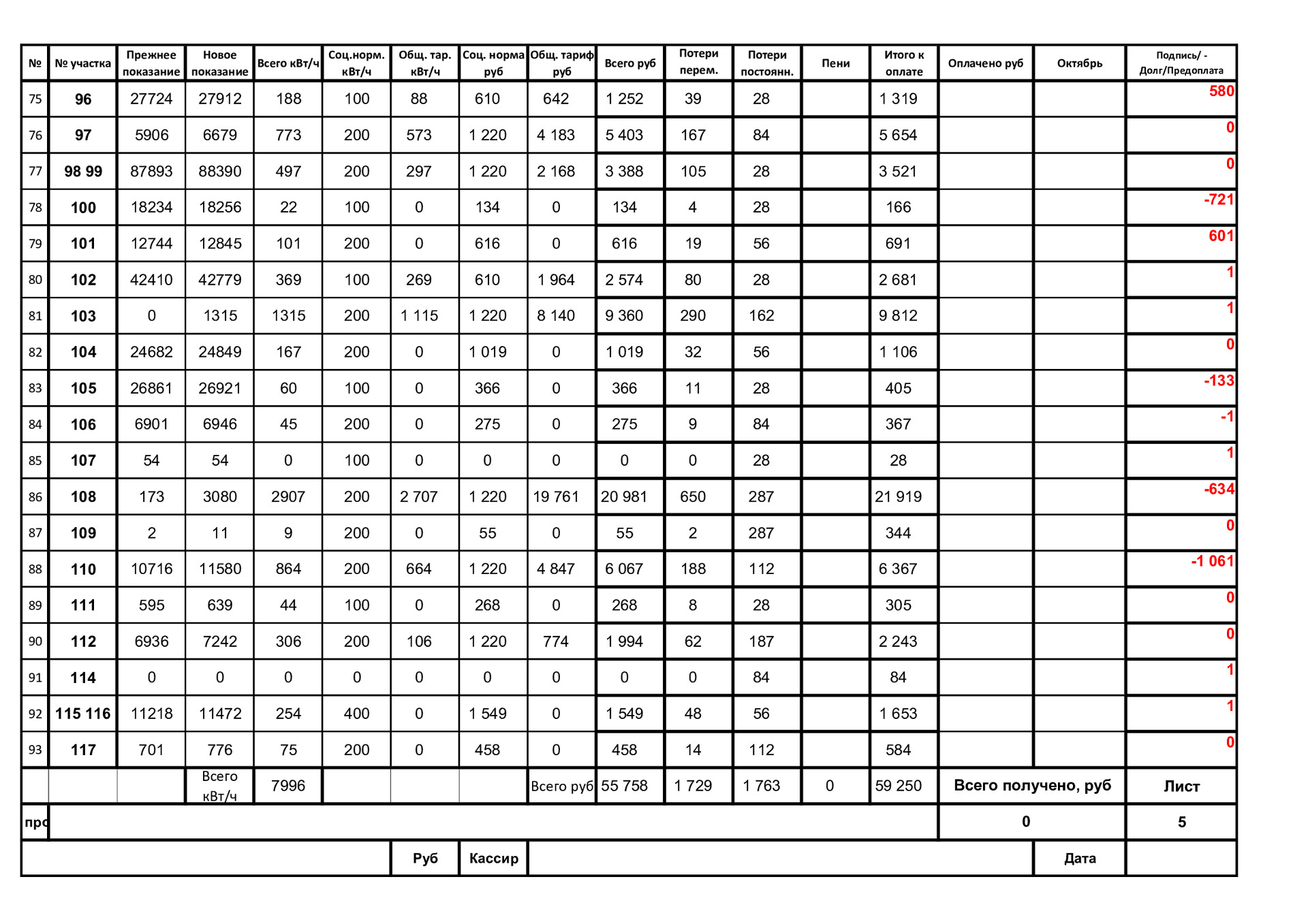
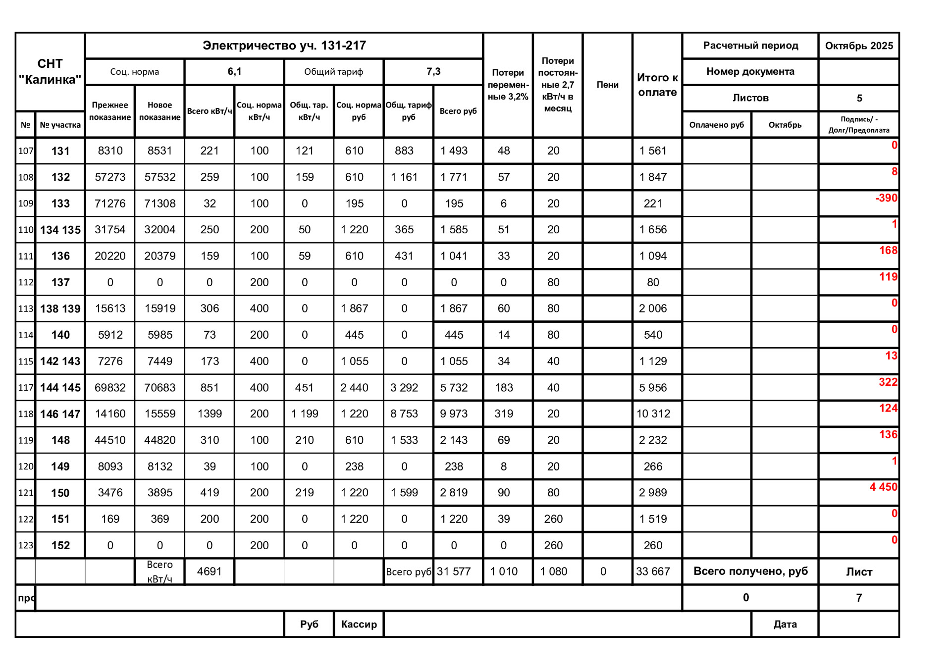
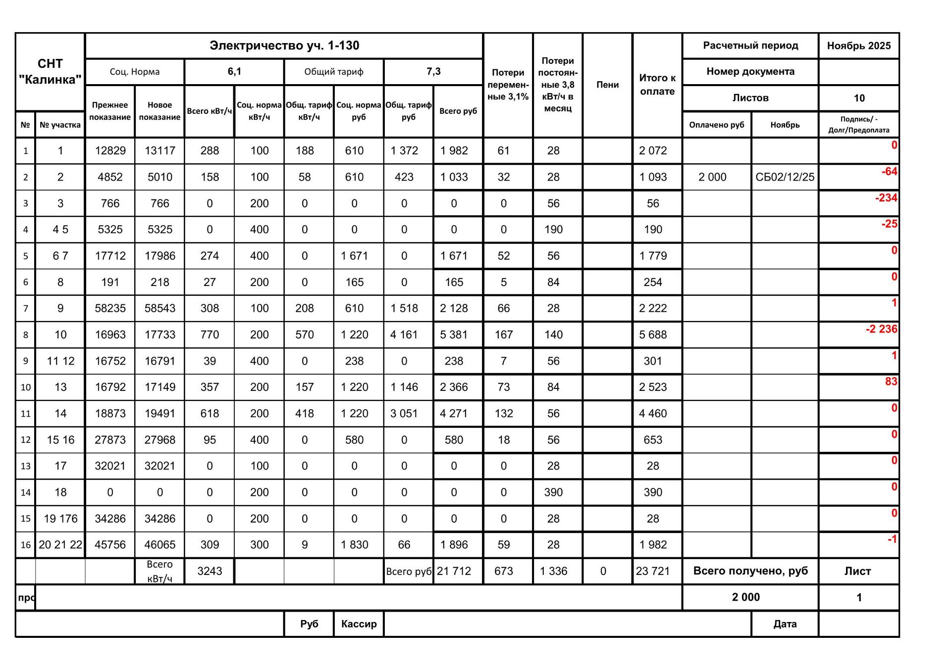
Оплата электрОЭНЕРГИИ октябрь 2025 года
👆 если Вы используете для просмотра мобильный телефон, рекомендуем скачать и открыть файл
1-22
23-46
47-70
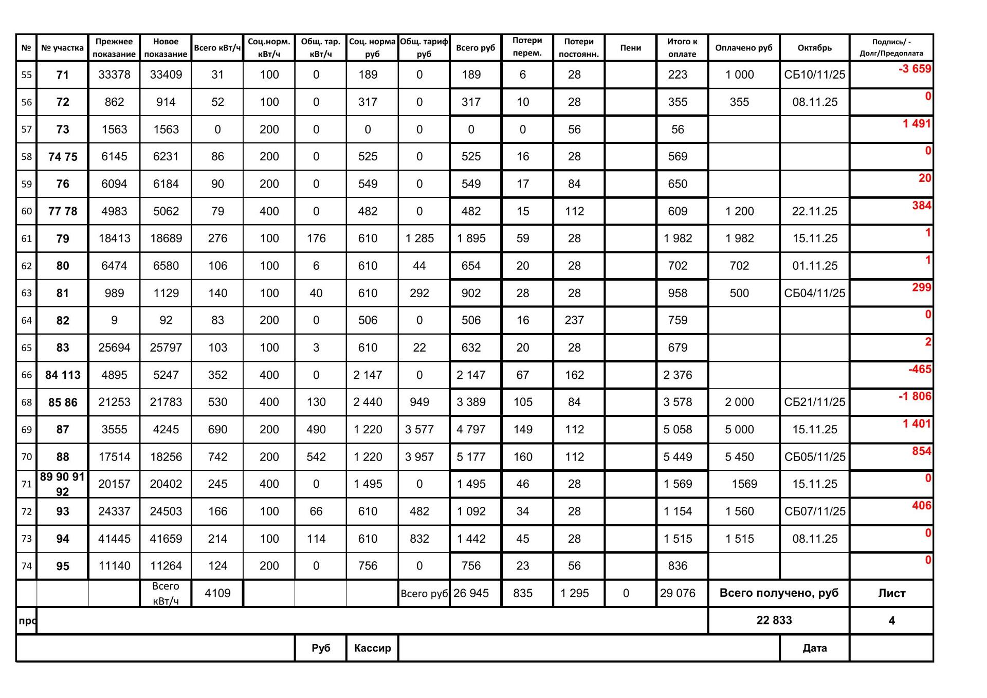
71-95
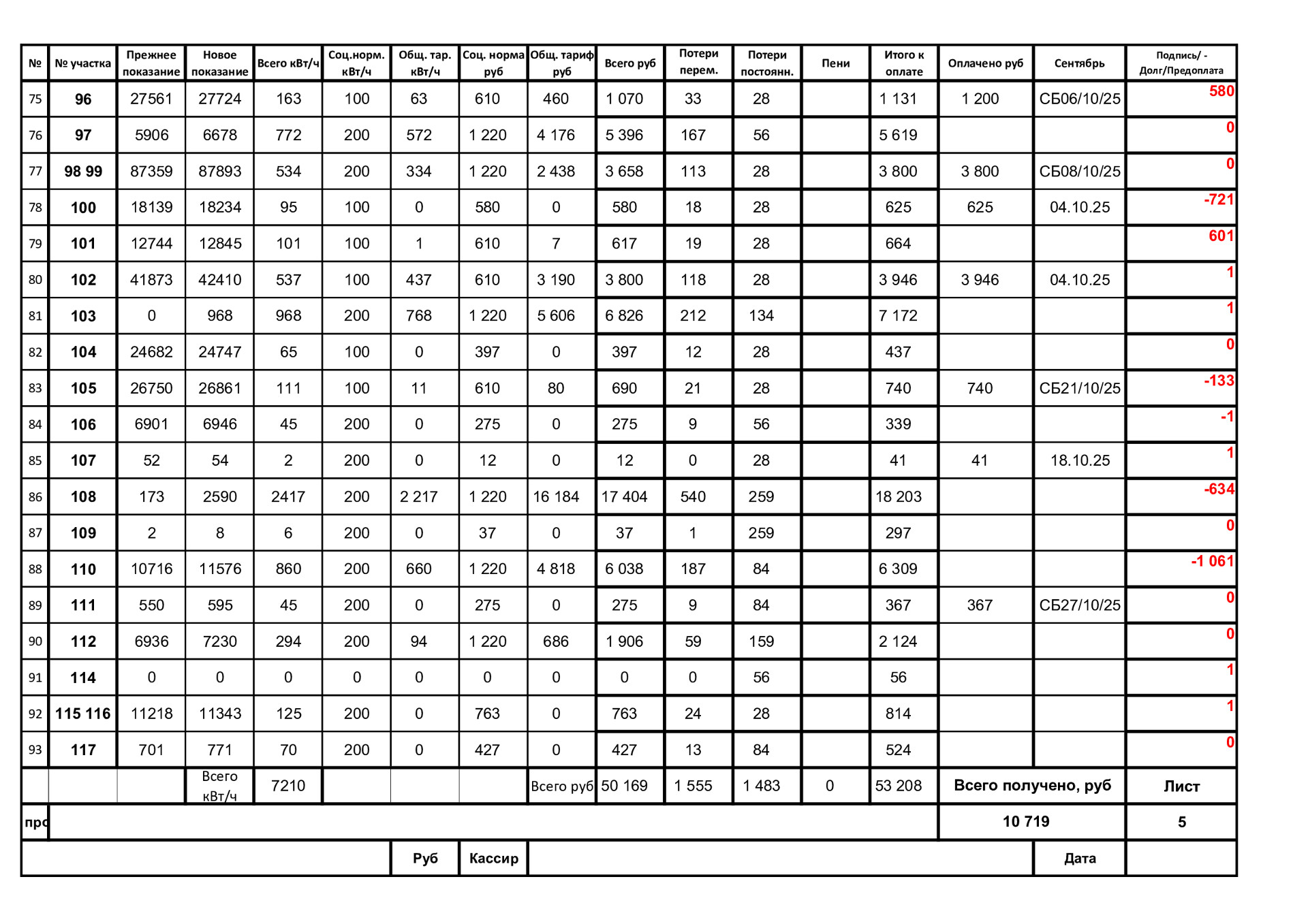
96-117
118-130
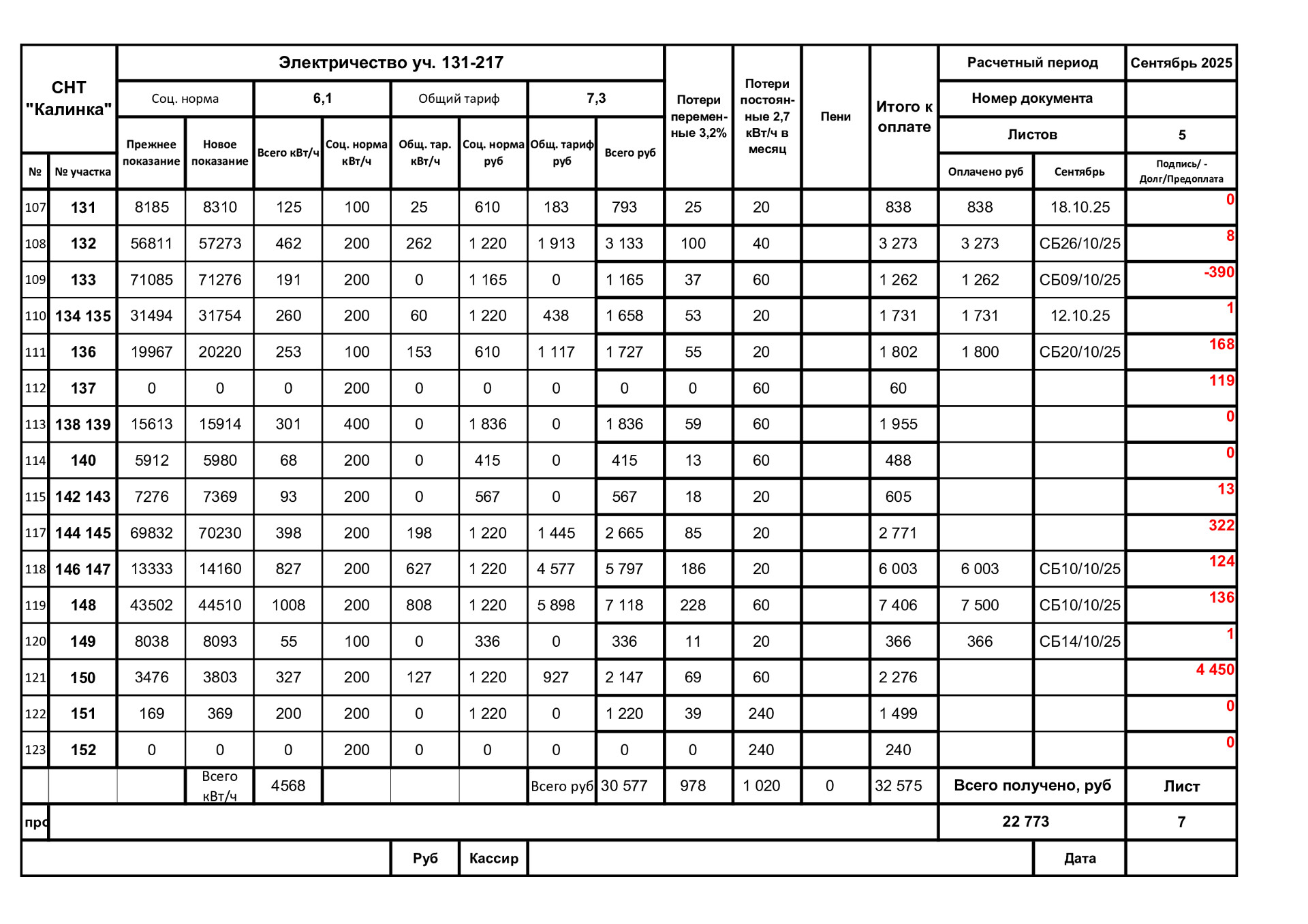
131-152
153-175
177-200
201-217










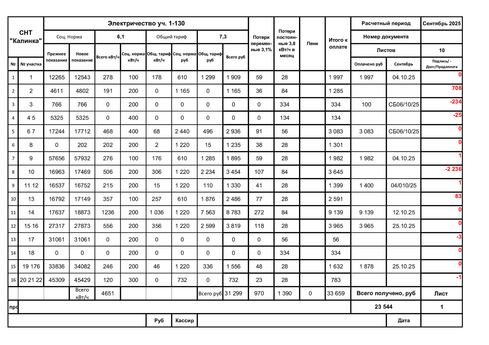
Оплата электрОЭНЕРГИИ сентябрь 2025 года
👆 если Вы используете для просмотра мобильный телефон, рекомендуем скачать и открыть файл
1-22
23-46
47-70
71-95
96-117
118-130
131-152
153-175
177-200
201-217










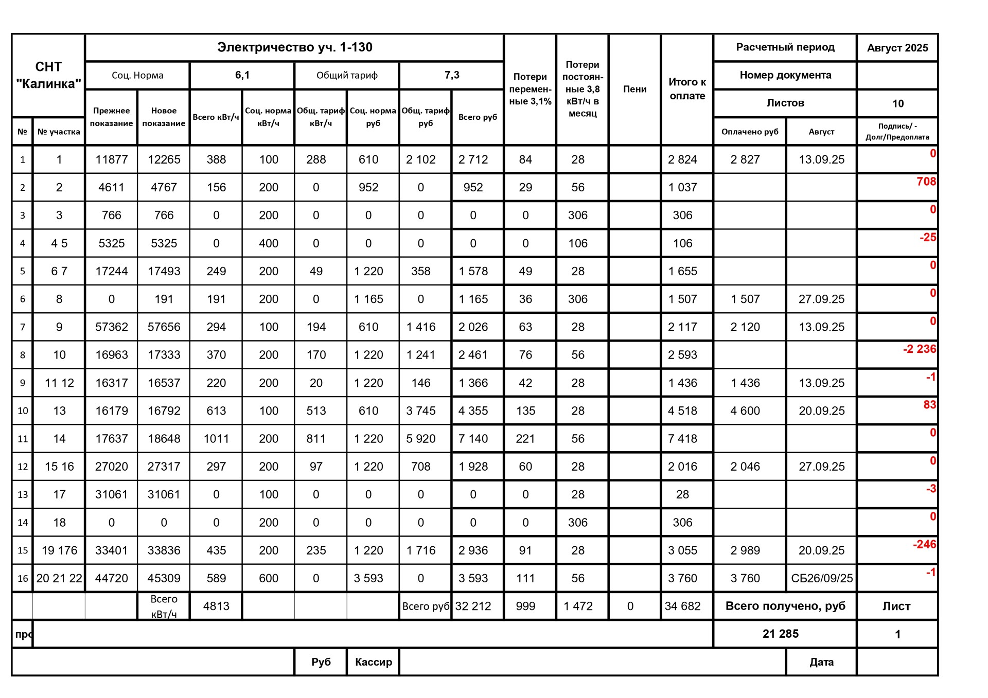
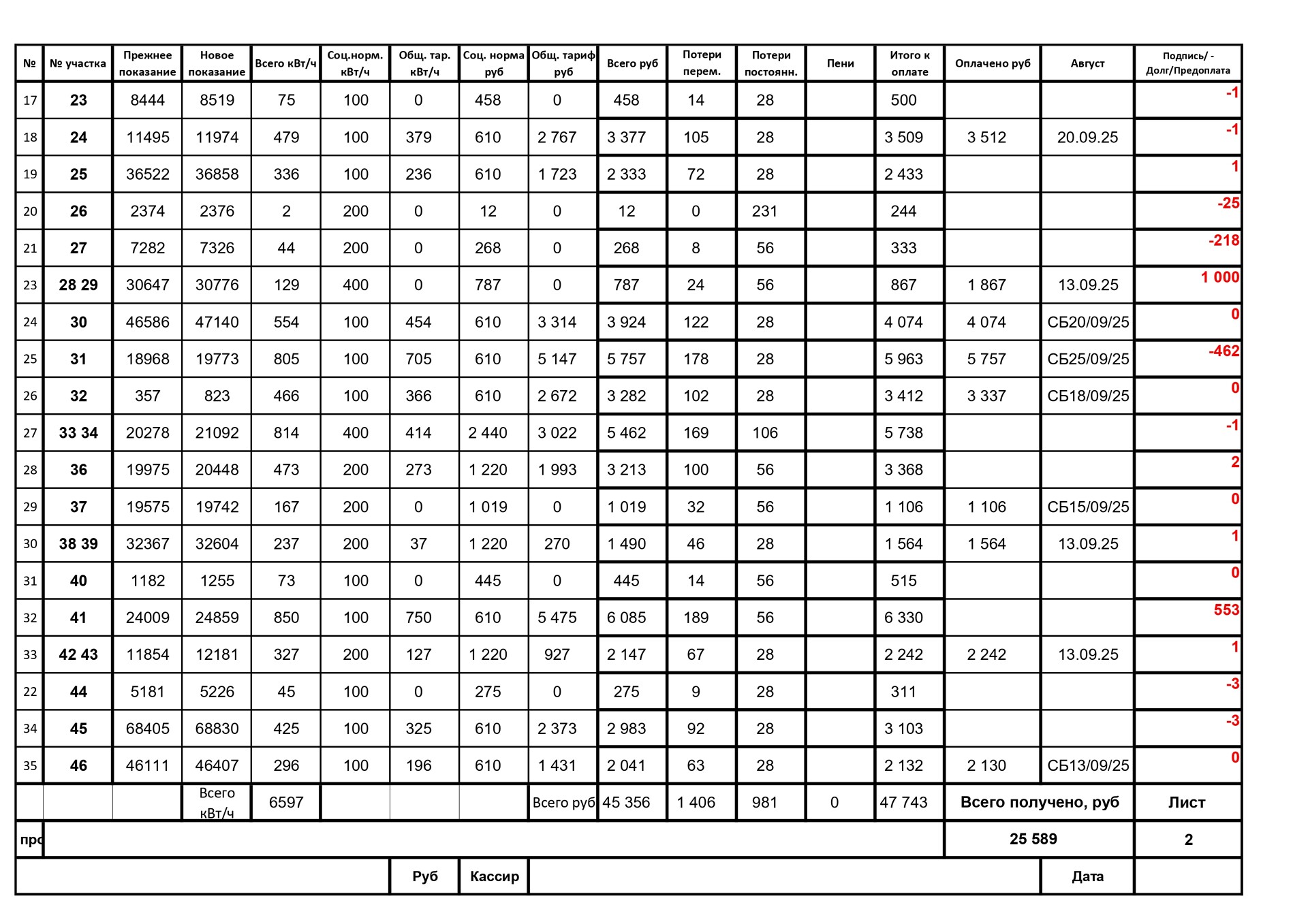
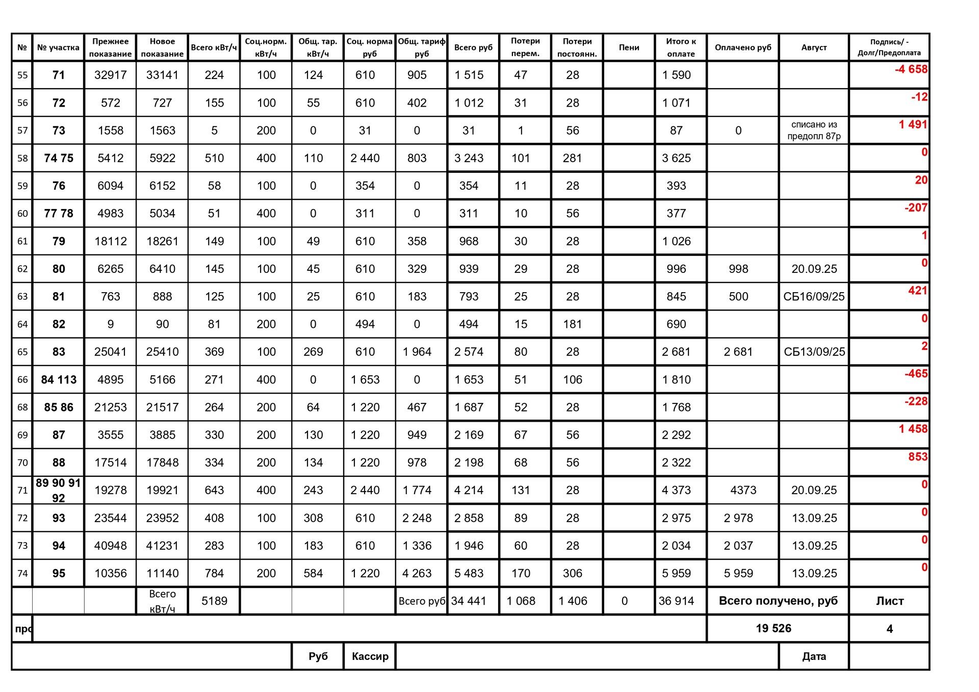
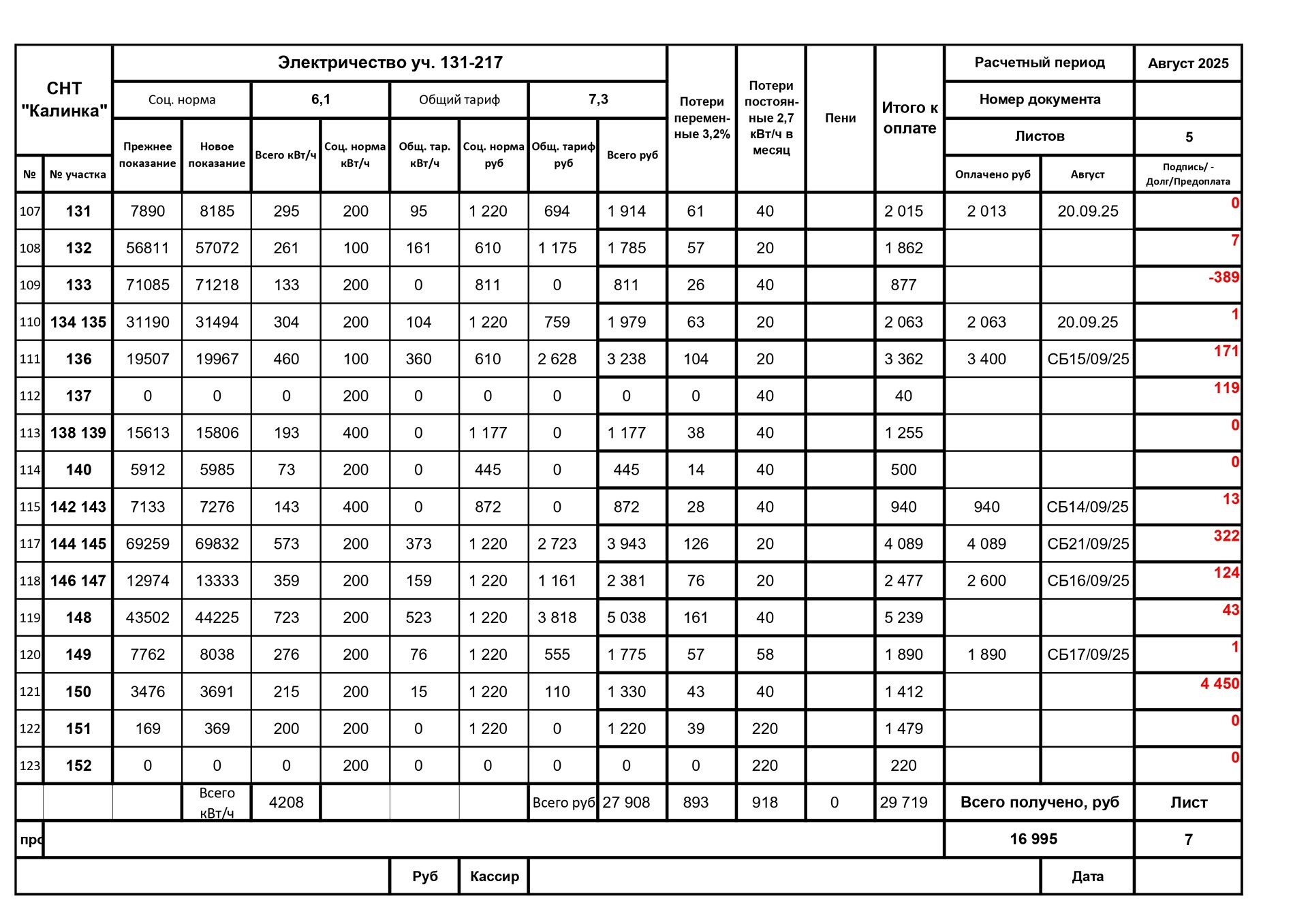
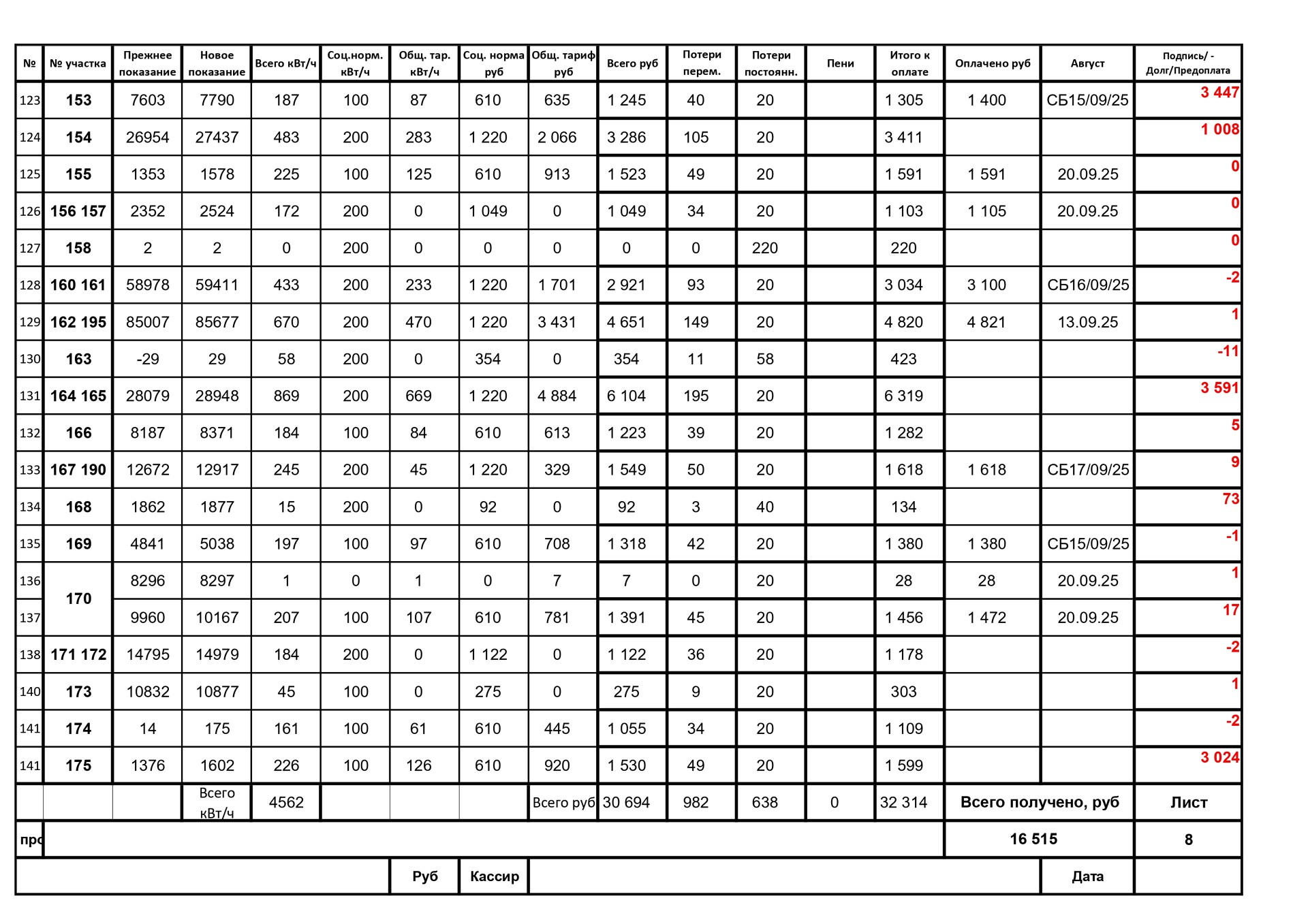
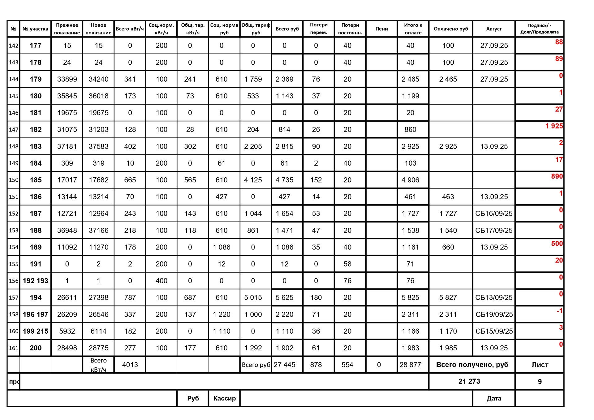
Оплата электрОЭНЕРГИИ август 2025 года
👆 если Вы используете для просмотра мобильный телефон, рекомендуем скачать и открыть файл
1-22
23-46
47-70
71-95
96-117
118-130
131-152
153-175
177-200
201-217










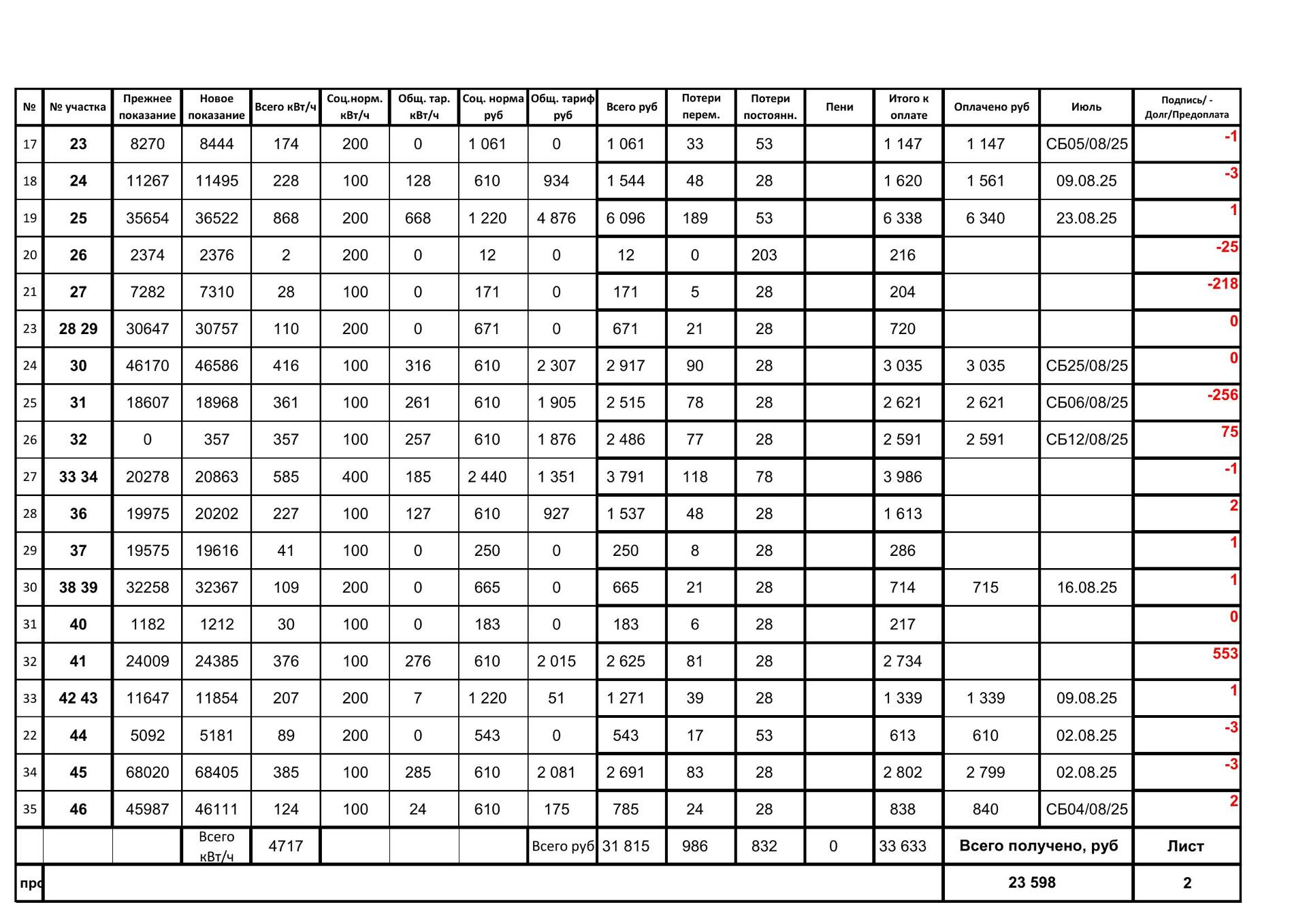
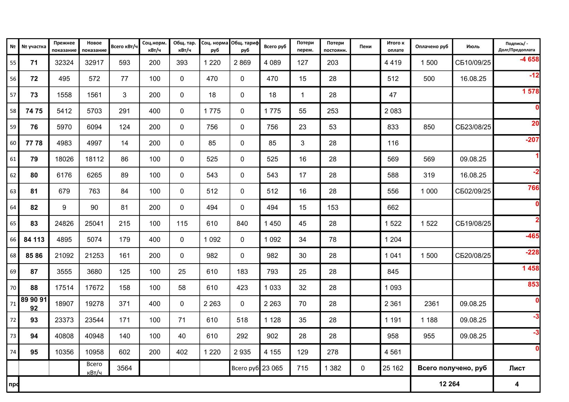
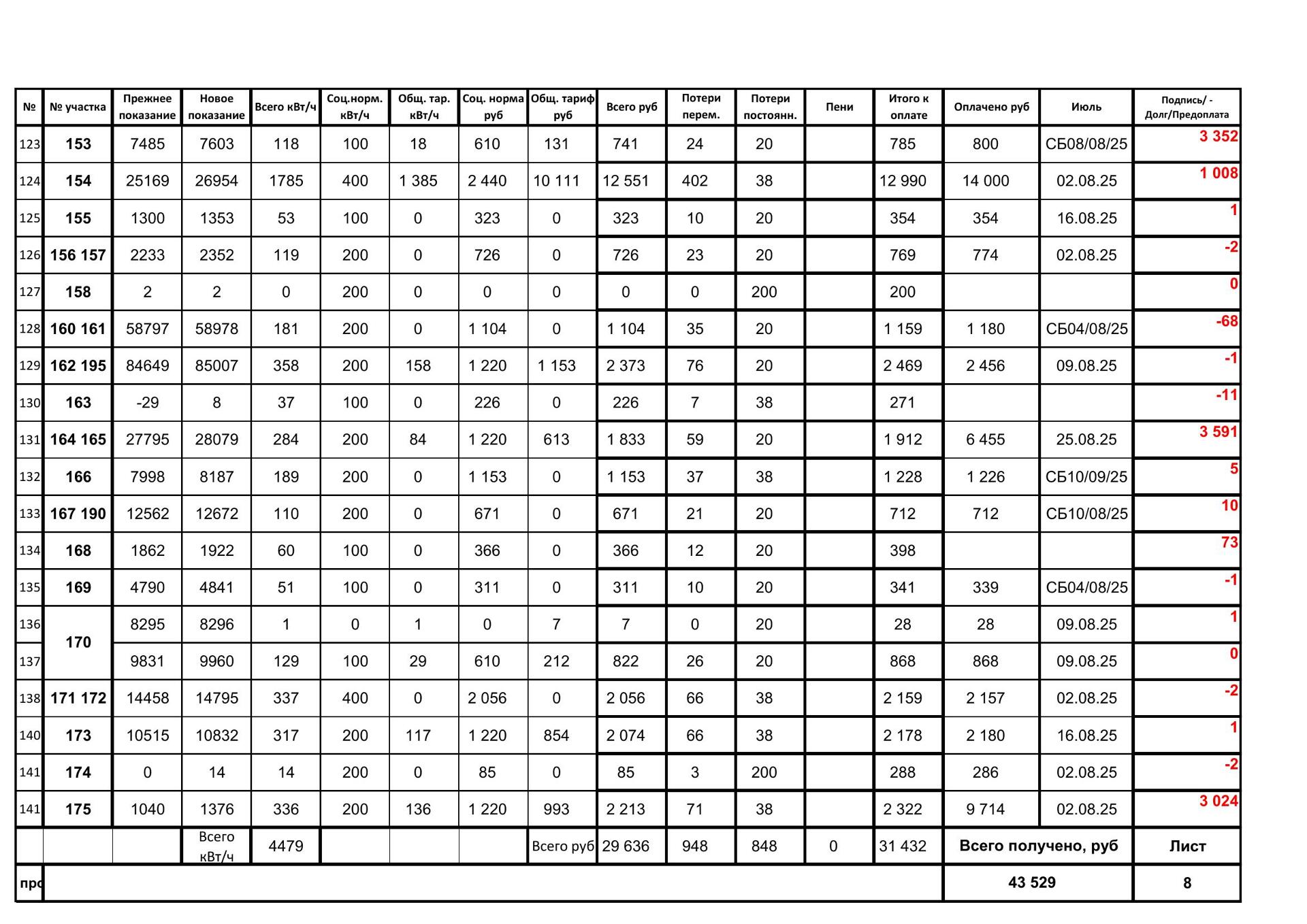
Оплата электрОЭНЕРГИИ июль 2025 года
👆 если Вы используете для просмотра мобильный телефон, рекомендуем скачать и открыть файл
1-22
23-46
47-70
71-95
96-117
118-130
131-152
153-175
177-200
201-217










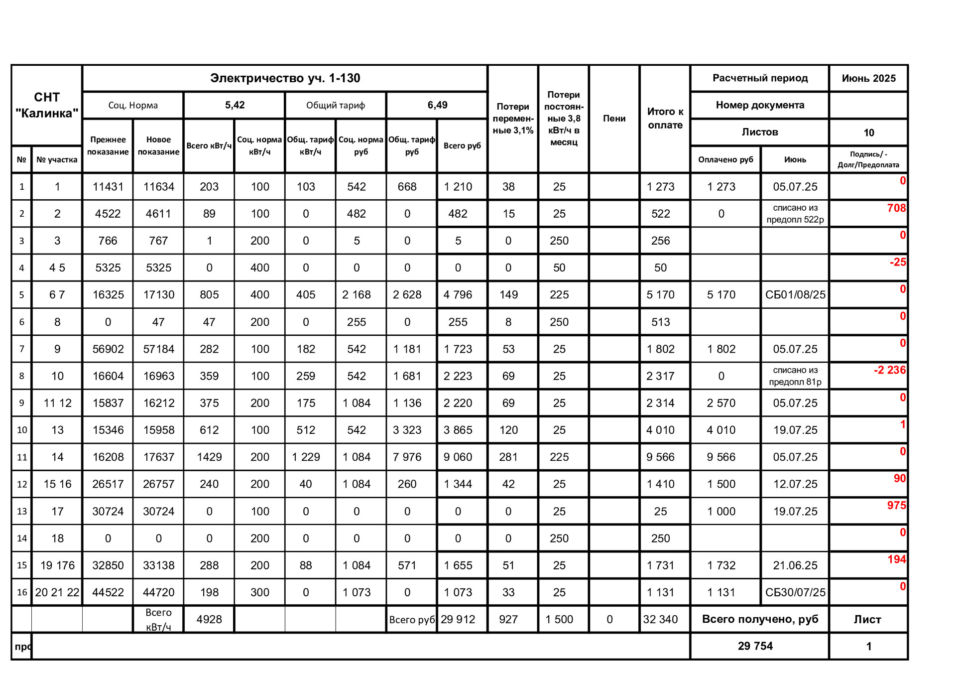
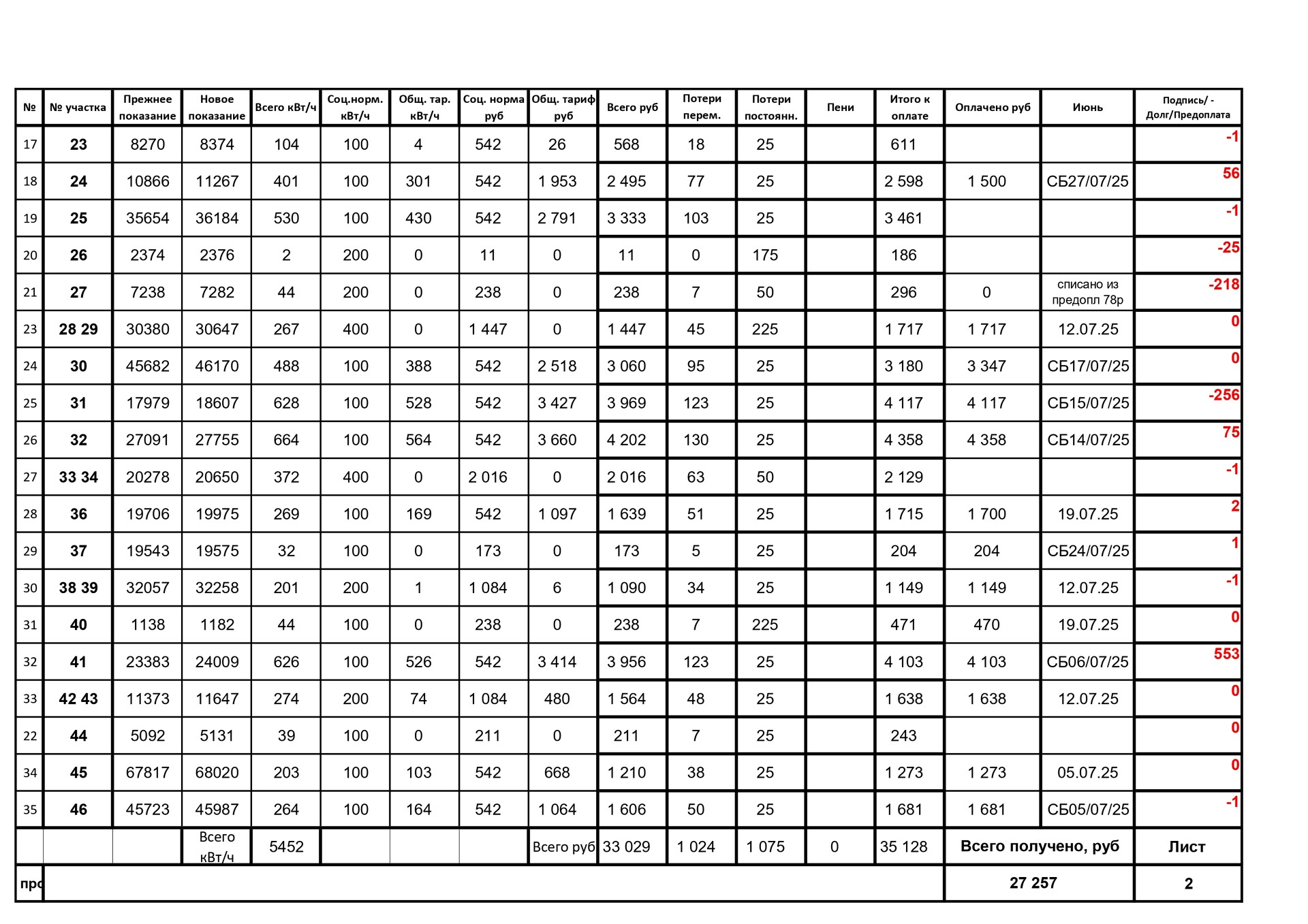
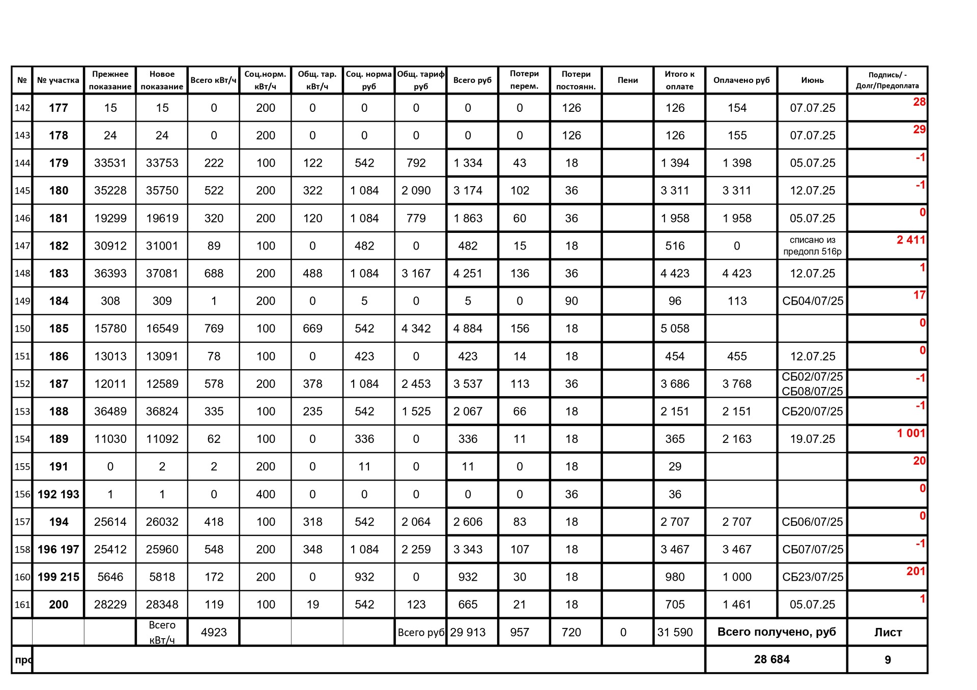
Оплата электрОЭНЕРГИИ июнь 2025 года
👆 если Вы используете для просмотра мобильный телефон, рекомендуем скачать и открыть файл
1-22
23-46
47-70
71-95
96-117
118-130
131-152
153-175
177-200
201-217










Оплата электрОЭНЕРГИИ май 2025 года
👆 если Вы используете для просмотра мобильный телефон, рекомендуем скачать и открыть файл
1-22
23-46
47-70
71-95
96-117
118-130
131-152
153-175
177-200
201-217










Оплата электрОЭНЕРГИИ Апрель 2025 года
👆 если Вы используете для просмотра мобильный телефон, рекомендуем скачать и открыть файл
1-22
23-46
47-70
71-95
96-117
118-130
131-152
153-175
177-200
201-217










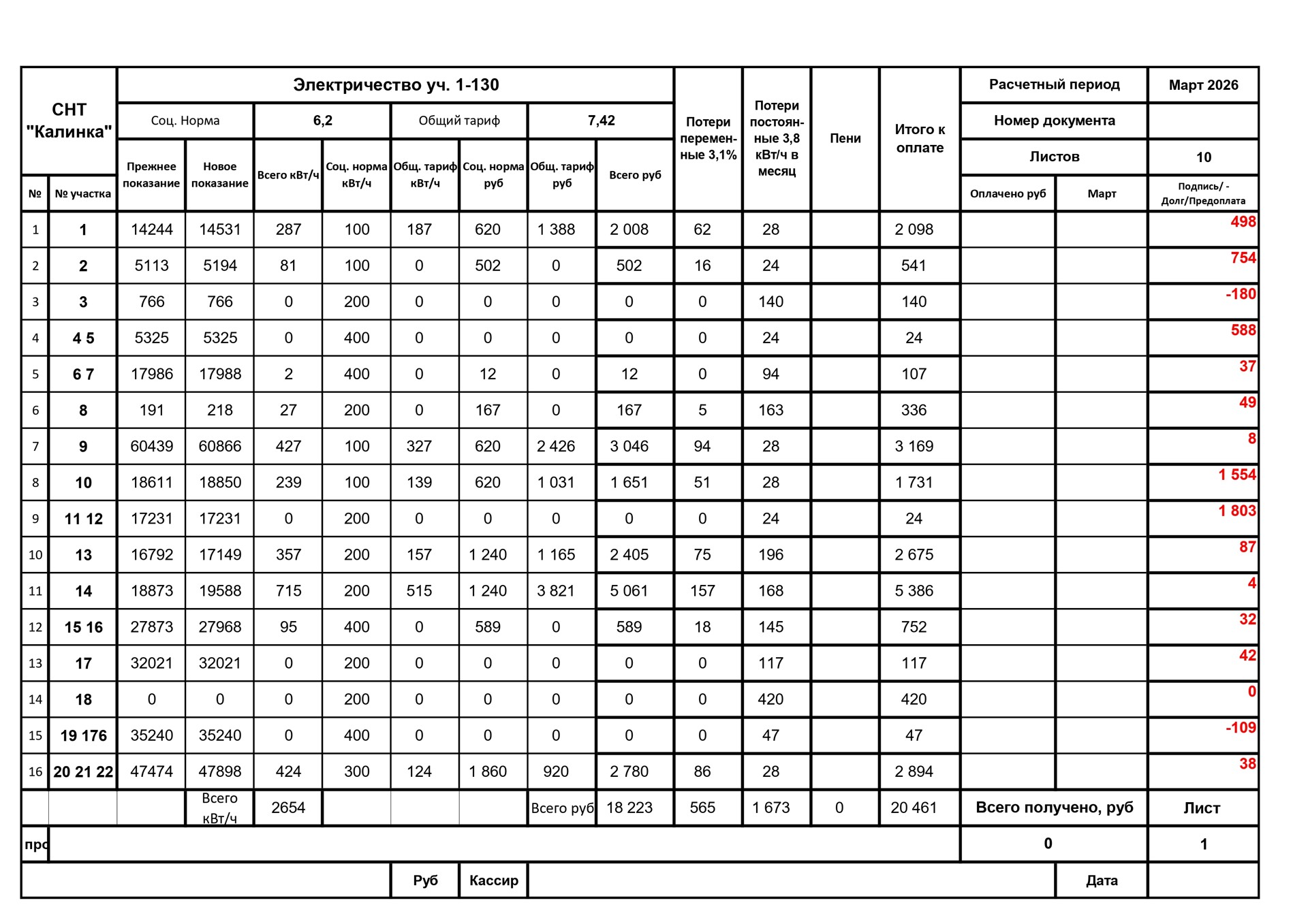
Оплата электрОЭНЕРГИИ МАРТ 2025 года
👆 если Вы используете для просмотра мобильный телефон, рекомендуем скачать и открыть файл
1-22
23-46
47-70
71-95
96-117
118-130
131-152
153-175
177-200
201-217










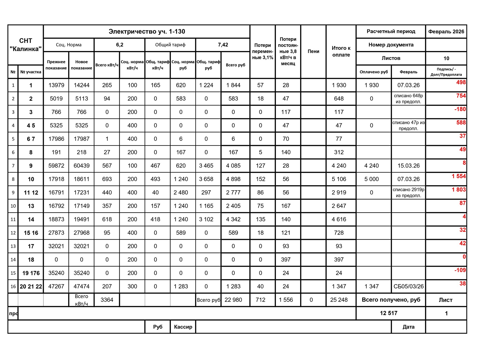
Оплата электрОЭНЕРГИИ ФЕВРАЛЬ 2025 года
👆 если Вы используете для просмотра мобильный телефон, рекомендуем скачать и открыть файл
1-22
23-46
47-70
71-95
96-117
118-130
131-152
153-175
177-200
201-217










Оплата электрОЭНЕРГИИ ЯНВАРЬ 2025 года
👆 если Вы используете для просмотра мобильный телефон, рекомендуем скачать и открыть файл
1-22
23-46
47-70
71-95
96-117
118-130
131-152
153-175
177-200
201-217










ВЫПИСКА ОПЕРАЦИЙ ПО ЛИЦЕВОМУ СЧЕТУ за октябрь 2025 года
👆 если Вы используете для просмотра мобильный телефон, рекомендуем скачать и открыть файл
1
2
3
4
5
6
7
8
9









ВЫПИСКА ОПЕРАЦИЙ ПО ЛИЦЕВОМУ СЧЕТУ за сентябрь 2025 года
👆 если Вы используете для просмотра мобильный телефон, рекомендуем скачать и открыть файл
1
2
3
4
5
6
7
8








ВЫПИСКА ОПЕРАЦИЙ ПО ЛИЦЕВОМУ СЧЕТУ за Август 2025 года
👆 если Вы используете для просмотра мобильный телефон, рекомендуем скачать и открыть файл
1
2
3
4
5
6
7
8
9









ВЫПИСКА ОПЕРАЦИЙ ПО ЛИЦЕВОМУ СЧЕТУ за ИЮлЬ 2025 года
👆 если Вы используете для просмотра мобильный телефон, рекомендуем скачать и открыть файл
1
2
3
4
5
6
7
8
9
10
11
12
13













ВЫПИСКА ОПЕРАЦИЙ ПО ЛИЦЕВОМУ СЧЕТУ за ИЮНЬ 2025 года
👆 если Вы используете для просмотра мобильный телефон, рекомендуем скачать и открыть файл
1
2
3
4
5
6
7
8
9









ВЫПИСКА ОПЕРАЦИЙ ПО ЛИЦЕВОМУ СЧЕТУ за май 2025 года
👆 если Вы используете для просмотра мобильный телефон, рекомендуем скачать и открыть файл
1
2
3
4
5
6
7







ВЫПИСКА ОПЕРАЦИЙ ПО ЛИЦЕВОМУ СЧЕТУ за апрель 2025 года
👆 если Вы используете для просмотра мобильный телефон, рекомендуем скачать и открыть файл
1
2
3
4
5
6
7







ВЫПИСКА ОПЕРАЦИЙ ПО ЛИЦЕВОМУ СЧЕТУ за МАРТ 2025 года
👆если Вы используете для просмотра мобильный телефон, рекомендуем скачать и открыть файл
1
2
3
4
5
6






ВЫПИСКА ОПЕРАЦИЙ ПО ЛИЦЕВОМУ СЧЕТУ за ФЕВРАЛЬ 2025 года
👆если Вы используете для просмотра мобильный телефон, рекомендуем скачать и открыть файл года"
1
2
3
4
5
6






ВЫПИСКА ОПЕРАЦИЙ ПО ЛИЦЕВОМУ СЧЕТУ за январь 2025 года
👆если Вы используете для просмотра мобильный телефон, рекомендуем скачать и открыть файл
1
2
3
4
5





ПРОТОКОЛ ОБЩЕГО СОБРАНИЯ 21 ИЮНЯ 2025 ГОДа
Отчет Председателя за 2024 год
Отчет ревизионной комиссии за 2024 год
СМЕТА скорректированная_ФЭО 2025 ГОД
СМЕТА ПРЕДВАРИТЕЛЬНАЯ_ФЭО 2026 ГОД
Оригинал Протокола общего собрания и реестр присутствовавших на собрании членов СНТ находится у Председателя правления СНТ.
УСТАВ Утвержден общим собранием членов Протоколом №1 от 17 марта 2003 г.
👆 скачать файл "Устав СНТ "Калинка" 2003г"
1
2
3
4
5
6
7
8
9
10
11
12
13
14
15
16
17
18
19
20
21
22
23
24
25

























приложение от 18.04.2024 года к договору №1118 (СНТ Калинка). расчет потерь ЛЭП и трансформаторов (ежемесячный)

энергосбытволга. письмо об изменении порядка предоставления соц.нормы.

У меня возник вопрос!
СНТ "Калинка"
ОГРН 1033303203394
ИНН 3311010984
КПП 331101001
601605, Владимирская область, Александровский р-н, деревня Лизуново
Политика конфиденциальности
Редактируемый текст
Данный сайт использует Cookie
Редактируемый текст